free pdf

Hydroquinone - INRS

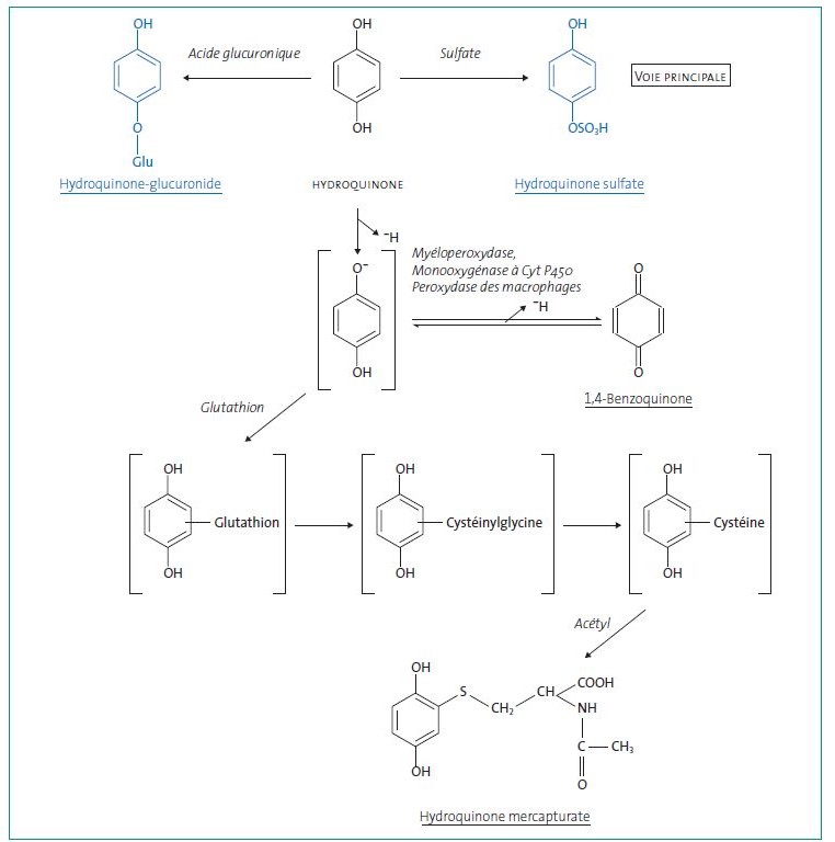
L'expression « Dépigmentation Volontaire » désigne une pratique par laquelle une personne, de sa propre initiative, s'emploie à diminuer la ...









Download

Activités pour les enfants - Musées de Reims
La musette renferme les objets personnels du soldat (briquet, pipe, lettres,?). Lucien y avait glissé sa carte de mobilisation. Archives municipales et ...
Rallye 14-18 - Bout de Gomme
Lucien Soldat Français en 14-18. © Quelle Histoire. Page 2. Tu as 10 points au départ. On enlève 1 point par erreur. __. Rallye 14-18. Nom : ????????. Prénom ...
la grande guerre - - lucien - - soldat français - fnac-static.com
- LUCIEN -. SOLDAT FRANÇAIS. Quelle Histoire. Page 2. * LA GRANDE GUERRE. - LUCIEN -. SOLDAT FRANÇAIS. Quelle Histoire. LDITIONS. Page 3. Page 4. 11 NOVEMBRE ...
Lis le texte
Les uniformes des soldats en 1914 : un soldat français un soldat anglais un soldat allemand. Page 12. 14 septembre 1914 : Lucien a gagné une bataille contre ...
Album N° 1 Titre : Lucien Soldat Français (Quelle histoire éditions)
? - LUCIEN - Soldat Anglais. ? - LUCIEN - Soldat Français. ? - LUCIEN - Soldat Russe b. La première de couverture : ? Lucien tient la crosse de son fusil ...
Lucien, soldat français - WordPress.com
Lucien, soldat français. Téléchargé chez Mother n Teacher. Page 2. 1er aout 1914. Paris. Les affiches de mobilisation sont placardées dans la ville. Lucien a ...
La norme ISO 9650
Semi-hauturier. Hauturier. Jusqu'à 2 milles d'un abri. Jusqu'à 6 milles d'un abri ... Suivre la préconisation du constructeur dans le manuel du propriétaire. Le ...
LE PERMIS CÔTIER - Bateau-école - Le Lagon Bleu
Manuel d'instructions. 1. Pagaie flottante. 2. Fusée parachute. 2. Tabl. signaux détresse. 1. Les plus produits : Conçu et fabriqué en Italie ? Réseau de ...
Kits d'Armement de Sécurité Obligatoire - Comptoir de la mer
? semi-hauturier (entre 6 et 60 milles d'un abri) ? VHF fixe. ? hauturier ... Manuel rédigé par le Département licences et certificats de l'ANFR : crr ...
Direction générale - des Infrastructures
francisation selon la taille et la puissance du navire) et votre permis plaisance. (côtier ou hauturier), ainsi que votre licence anfr (obligatoire avec toutes.
RADEAUX ARIMAR « ATLANTIC P » - ISO 9650 T1 (hauturier -24h)
? semi-hauturier (entre 6 et 60 milles d'un abri) ? VHF fixe. ? hauturier (plus de 60 milles d'un abri) ? Radiobalise de localisation des ...
Guide de la plaisance et des loisirs nautiques Édition 2019
Semi-hauturier. Entre 6 et 60 milles d'un abri*. Hauturier. Au-delà de 60 milles d'un abri *. * Abri : Endroit de la côte où tout engin, embarcation ou navire ...